
怎样获得配电变压器的运行数据?如何做好配电变压器三相负荷的调整工作使三相负荷趋于平衡呢?从 2008 年起,红河供电局开始建立电力配变监测管理系统,对所辖区域内的公用配电变压器安装配电监测终端。截止 2010 年 9 月,蒙自地区终端覆盖率已达到 85%,其中城区覆盖率为 96.6%。根据电力配变监测管理系统的统计数据显示,并经抽样测量校核,60%以上的配电变压器三相不平衡度在 50%以上,不平衡现象非常严重,远不能满足《架空配电线路及设备运行规程》的要求,给供电企业和用电客户都带来了很大的影响。
1、三相不平衡的危害
1.1 影响供电可靠性
配电变压器在三相负荷不平衡状态下运行时,低压侧会产生零序电流,因高压侧没有中性线而没有零序电流,低压侧零序电流产生的零序磁通就不能被抵消,所以,零序磁通只能由配电变压器的油箱壁及其它钢铁构件中通过,磁滞和涡流在钢铁构件内发热,造成配电变压器散热条件降低,导致温升增高,严重时会损坏配电变压器绝缘,甚至烧损配电变压器。同时,蒙自地区配电网以 10kV 线路为主,线路装设的断路器保护方式多为过电流保护,当配电变压器三相负荷不平衡造成变压器故障严重时,将可能引起配电变压器前端的线路断路器动作跳闸,而现有的线路断路器大多没有重合功能,造成不必要的停电,降低供电可靠性。
1.2 增加电能损耗
系统中通过电流时必将产生电能损耗,然而当配电变压器三相负荷不平衡时电能损耗将增加。
1.2.1 增加变压器损耗
配电变压器在运行过程中会产生功率损耗,包括铁损和铜损。如前所述,当配电变压器在三相负荷不平衡状况下运行时,低压侧会产生零序电流,零序电流产生的零序磁通不能被抵消,只能由配电变压器的油箱壁及其它钢铁构件中通过,从而在油箱壁中发热产生额外的铁损。此外,变压器的铜损也会相应的增加,如下例:
例1:根据电力配变监测管理系统中的信息得110kV银河变10kV小东山056线路所属的新建村公用配电变压器 2010 年 7 月 18 日的三相电流数据如下图:
1.2.2 增加线路损耗
电流流过导线时,必然将产生电能损耗,其损耗与通过导线的电流平方成正比。低压电网普遍采用三相四线制供电,配电变压器三相负荷不平衡时,中性线即有电流通过,这样不但在相线上有损耗,中性线也会产生损耗,增加了电网线路的损耗。
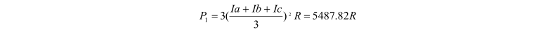
例 2 :如例 1 中新建村公用配电变压器,经计算 2010 年 7 月 18 日 15 : 45 时中性线的电流为 In=45.5A ,假设相线及中性线电阻皆为 R ,配电变压器三相不平衡时的线路功率损耗为:
当配电变压器三相负荷平衡时,线路功率损耗为:

比较得知,三相负荷不平衡运行的线路功率损耗是三相平衡时的 1.63 倍。所以,当配电变压器在三相负荷不平衡运行时,变压器损耗和线路损耗都将增大,并且随着不平衡度的增大,损耗会更大。
1.3 危及安全 影响声誉
1.3.1 危及安全
配电变压器在三相负荷不平衡时运行,各相输出电流不同,从而配电变压器内部三相压降不同,导致负荷电流大的一相电压低,而负荷电流小的一相电压高,这样配电变压器三相输出电压将不平衡,造成电能质量不合格,同时也会导致配电变压器的零点漂移,中性线就会有电流通过。配电变压器长期在电压不平衡状况下供电极容易造成:
( 1 )零点漂移导致中性线带电,在未改造的线路中、中性线标准往往选择比相线低一级,导线过细,电流过大,容易造成中性线烧断,相电压变成线电压,危及人身及设备安全。
( 2 )电压高的一相接带的用户用电设备烧坏,而电压低的一相接带的用户用电设备则可能无法正常使用。
( 3 )不平衡度严重时,某相负荷超载过多,将会造成某相导线烧断、低压开关烧毁、变压器烧毁等严重后果。
( 4 )负荷高的一相因发热还会加快用电设备绝缘的老化、导致绝缘降低,使用电设备外壳带电,造成人身触电的可能。
1.3.2 降低变压器出力
变压器绕组结构是按对称运行情况设计的,其每组绕组结构性能基本一样,各相容量相等,故变压器的允许最大出力只能按三相负荷中最大一相为限,负荷轻的一相就有富余容量,因此,变压器三相不平衡运行时出力将下降。
例 3 :如例 1 中,新建村公用配电变压器在三相不平衡运行时的的效率为:

可见,配电变压器三相不平衡运行时,变压器的最大输出容量将降低,变压器的过载能力也相应降低。
1.3.3 降低效益 影响声誉
由于农村低压电网三相负荷不平衡造成线损电量增加、低压配电装置损坏和变压器烧毁、线路烧断等线路设备故障的发生,不但增加企业的供电成本,而且更换设备、停电检修会增加停电时间,给用户带来很大的影响,既降低了供电企业的经济效益,又影响了供电企业的声誉。
综上所述,调整三相负荷使之趋于平衡是提高变压器运行效率和降低电能损耗的有效措施。